Lund, 22nd - 24th January 2004
Quantum Ergodicity - Basic Ideas and Recent Developments
Jens Bolte

Quantum ergodicity for matrix valued operators

Jens Bolte (Ulm)

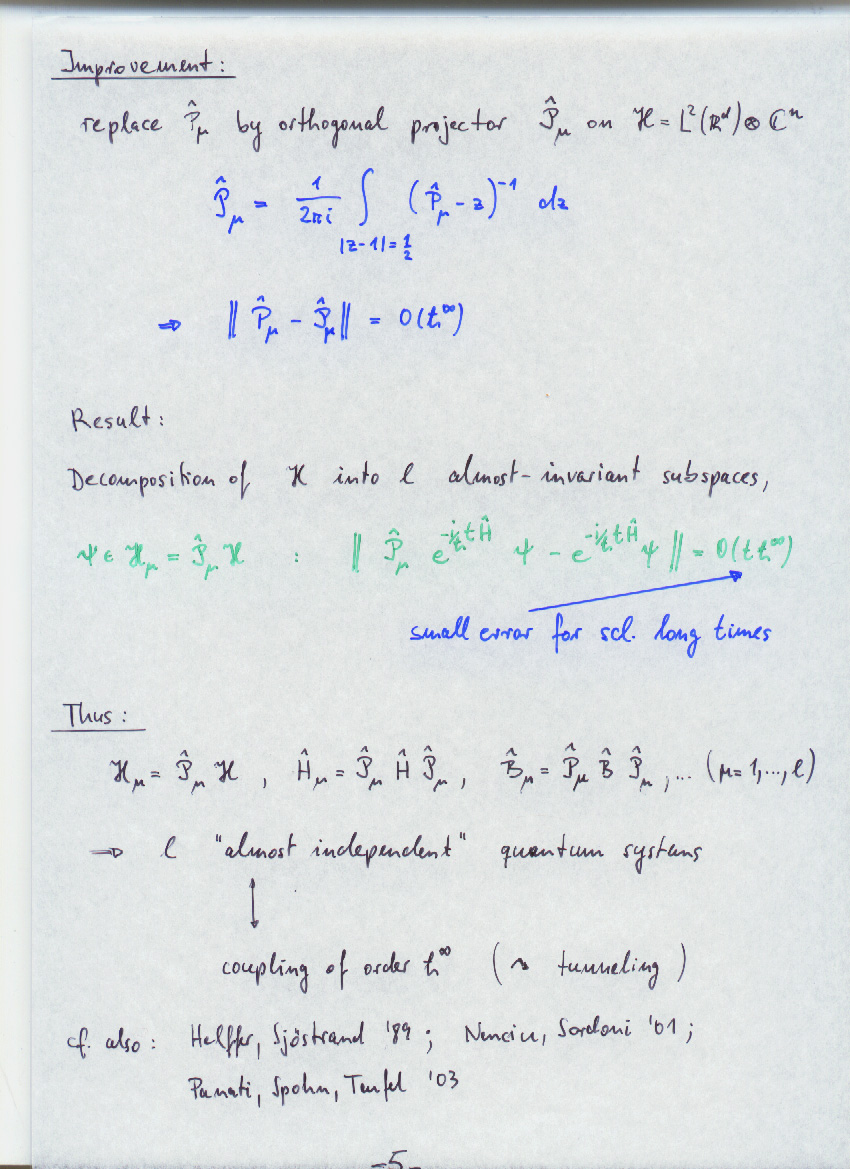
We consider semiclassical pseudodifferential operators that are (Weyl-) quantisations of matrix valued symbols such as, e.g., Dirac operators. In this setting to each eigenvalue of the principal symbol of the Hamiltonian operator there corresponds an almost invariant subspace of the quantum Hilbert space as well as a classical dynamical system. The latter consists of a skew product flow built over the Hamiltonian flow generated by the eigenvalue of the principal symbol. Suitable invariant semiclassical observables are identified and an Egorov theorem is proven for them. Quantum ergodicity is then shown to hold for the projections of eigenvectors to an almost invariant subspace provided the corresponding skew product flow is ergodic.
Slides: 01 -- 02 -- 03 -- 04 -- 05 -- 06 -- 07 -- 08 -- 09 -- 10 -- 11 -- 12 -- 13 -- 14 -- 15 -- 16 -- 17 -- 18
Workshop Home
Valid HTML 4.01! Last modified: Jan 28 2004
Stefan Keppeler (quantum.ergodicityATmatfys.lth.se)